Home | About | Collections | Stories | Help! | News & Links | Friends | Lets Talk! | Events & Visiting | Search

Digibarn Stories:
Stan Augarten with Wes Clark on the LINC - "Who Invented the Personal Computer?"


The following is a dialogue between Stan Augarten and Wes Clark on the question "Who Invented the Personal Computer?". This document is avaialble by clicking on the thumbnails below or through this PDF file (pages 1-14) and this one (pages 15-24) and the screen shots referenced are in this PDF file (or in the image below). This is worth a careful read as it contains much descript of the LINC project, the machine itself and precursors such as the TX-0 and TX-2. From Wes Clark come these meta-comments:

#63 -- re Jack Gilmore: When I'd first met him it was in the dead of night at Whirlwind, where he helped me with getting my program into the machine. I inferred from this that he was an operator, but he has since straightened me out. I should have said that he, along with Adams, were among the world's first operating system programmers.

#128 -- re Alan Kay: He did say this! I had simply forgotten it but remembered the great line.

#145 -- re Alan Kay: It wasn't Alan's imagery here, but Chuck Thacker's So have a go in good health!

P.S. Augarten either gave up on completing his contract with some publisher or other to get his book into cd-rom-able form, or went on to finish without sending me any more stuff for comment. I know that he subsequently started and ran a little BYTE-ish mag for a while, but when I contacted him a few years ago for his ok to send my commentaries to Waldrop, he said he had no problem with sending it to anyone I wanted to. He was then in Paris writing plays!

CRA4330Images-1200-BW001.jpg
Screen shots of the LINC in action

CRA4326a-pp-1-14_Page_01.jpg
CRA4326a-pp-1-14_Page_01.jpg
CRA4326a-pp-1-14_Page_02.jpg
CRA4326a-pp-1-14_Page_02.jpg
CRA4326a-pp-1-14_Page_03.jpg
CRA4326a-pp-1-14_Page_03.jpg
CRA4326a-pp-1-14_Page_04.jpg
CRA4326a-pp-1-14_Page_04.jpg
CRA4326a-pp-1-14_Page_05.JPG
CRA4326a-pp-1-14_Page_05.JPG
CRA4326a-pp-1-14_Page_06.jpg
CRA4326a-pp-1-14_Page_06.jpg
CRA4326a-pp-1-14_Page_07.jpg
CRA4326a-pp-1-14_Page_07.jpg
CRA4326a-pp-1-14_Page_08.jpg
CRA4326a-pp-1-14_Page_08.jpg
CRA4326a-pp-1-14_Page_09.jpg
CRA4326a-pp-1-14_Page_09.jpg
CRA4326a-pp-1-14_Page_10.jpg
CRA4326a-pp-1-14_Page_10.jpg
CRA4326a-pp-1-14_Page_11.jpg
CRA4326a-pp-1-14_Page_11.jpg
CRA4326a-pp-1-14_Page_12.jpg
CRA4326a-pp-1-14_Page_12.jpg
CRA4326a-pp-1-14_Page_13.jpg
CRA4326a-pp-1-14_Page_13.jpg
CRA4326a-pp-1-14_Page_14.jpg
CRA4326a-pp-1-14_Page_14.jpg
CRA4330-pp-15-20_Page_1.jpg
CRA4330-pp-15-20_Page_1.jpg
CRA4330-pp-15-20_Page_2.jpg
CRA4330-pp-15-20_Page_2.jpg
CRA4330-pp-15-20_Page_3.jpg
CRA4330-pp-15-20_Page_3.jpg
CRA4330-pp-15-20_Page_4.jpg
CRA4330-pp-15-20_Page_4.jpg
CRA4330-pp-15-20_Page_5.jpg
CRA4330-pp-15-20_Page_5.jpg
CRA4330-pp-15-20_Page_6.jpg
CRA4330-pp-15-20_Page_6.jpg

See Also:

William Calvin's letter to the editor of Byte (April 1982) on "A Missing LINC"


Our main pages on the LINC Story

Back to other Stories

Please send site comments to our Webmaster.
Please see our notices about the content of this site and its usage.
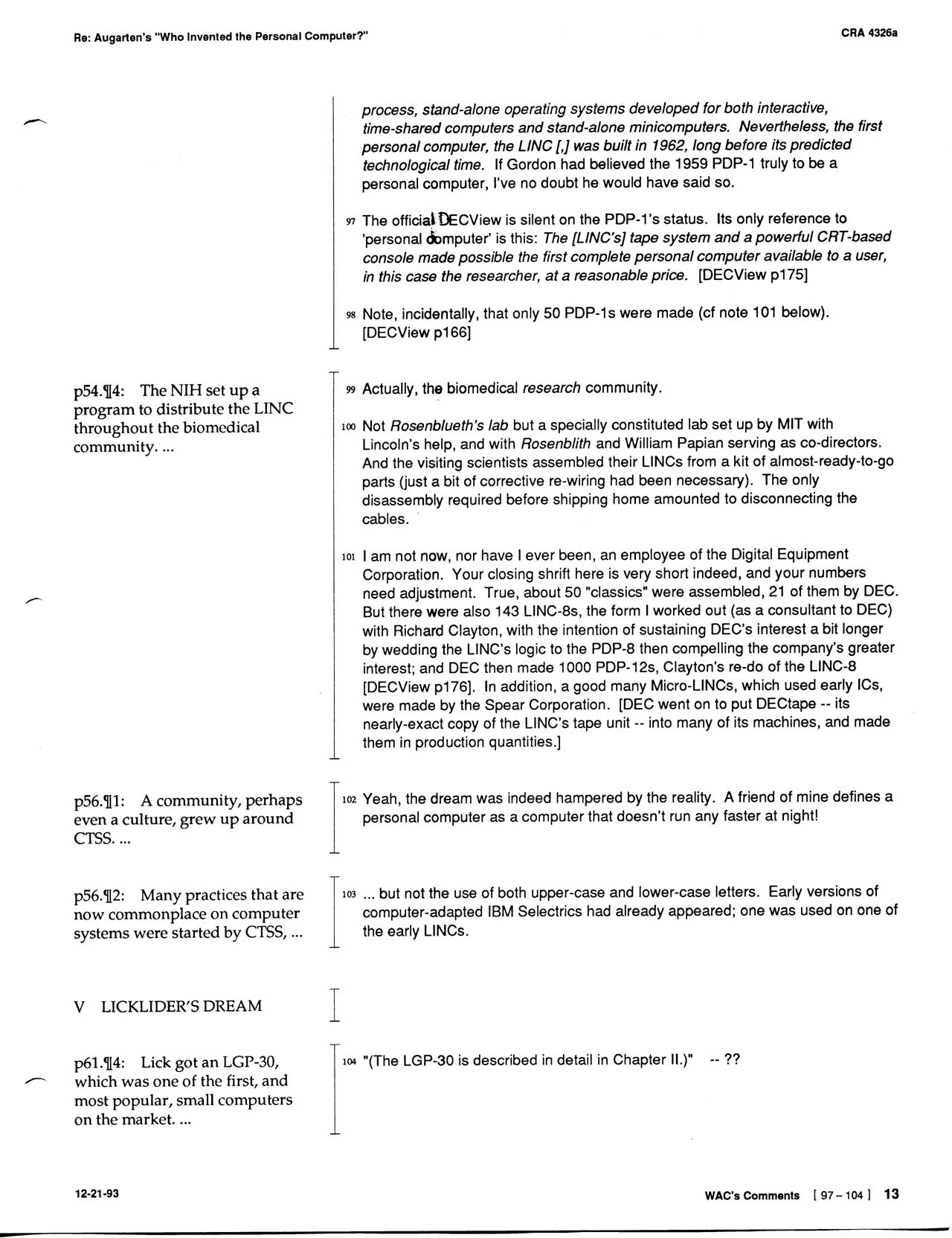
(cc) 1998- Digibarn Computer Museum, some rights reserved under this Creative Commons license.